给定一棵二叉树的根节点 root ,请找出该二叉树中每一层的最大值。
示例1:

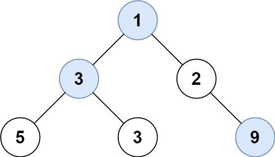
输入: root = [1,3,2,5,3,null,9]输出: [1,3,9]
示例2:
输入: root = [1,2,3]
输出: [1,3]
提示:
- 二叉树的节点个数的范围是
[0,104] -231 <= Node.val <= 231 - 1
class Solution {
public:
//一样,在层序遍历得到的tem中找最大值即可,这里可以直接在得到tem的过程中对比,省掉一个for循环
vector<int> largestValues(TreeNode* root) {
vector<int> ans;
queue<TreeNode*> q;
if (root!=nullptr) q.push(root);
while (!q.empty()){
// vector<int> tem;
int maxn=INT_MIN;
int len=q.size();
for (int i = 0; i < len; i++) {
TreeNode* node=q.front();
q.pop();
if(node->val>maxn){
// tem.push_back(node->val);
maxn=node->val;
}
if(node->left) q.push(node->left);
if (node->right)q.push(node->right);
}
ans.push_back(maxn);
}
return ans;
}
};
