给定一个不重复的整数数组 nums 。 最大二叉树 可以用下面的算法从 nums 递归地构建:
- 创建一个根节点,其值为
nums中的最大值。 - 递归地在最大值 左边 的 子数组前缀上 构建左子树。
- 递归地在最大值 右边 的 子数组后缀上 构建右子树。
返回 nums 构建的 *_最大二叉树_ 。
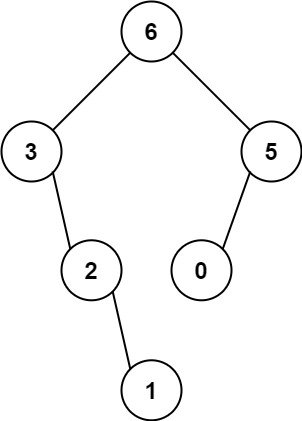
示例 1:

输入:nums = [3,2,1,6,0,5]输出:[6,3,5,null,2,0,null,null,1]解释:递归调用如下所示:- [3,2,1,6,0,5] 中的最大值是 6 ,左边部分是 [3,2,1] ,右边部分是 [0,5] 。- [3,2,1] 中的最大值是 3 ,左边部分是 [] ,右边部分是 [2,1] 。- 空数组,无子节点。- [2,1] 中的最大值是 2 ,左边部分是 [] ,右边部分是 [1] 。- 空数组,无子节点。- 只有一个元素,所以子节点是一个值为 1 的节点。- [0,5] 中的最大值是 5 ,左边部分是 [0] ,右边部分是 [] 。- 只有一个元素,所以子节点是一个值为 0 的节点。- 空数组,无子节点。
提示:
1 <= nums.length <= 10000 <= nums[i] <= 1000nums中的所有整数 互不相同
//递归就完事儿
class Solution {
public:
TreeNode* tra(vector<int>&nums){
int maxval=INT_MIN;
if(nums.size()==0) return nullptr;
int mid;
int maxmid;
for ( mid = 0; mid < nums.size(); mid++)
{
if (nums[mid]>maxval){
maxval = nums[mid];
maxmid=mid;
}
}
TreeNode* root=new TreeNode(maxval);
vector<int> left(nums.begin(),nums.begin()+maxmid);
vector<int> right(nums.begin()+maxmid+1,nums.end());
root->left=tra(left);
root->right = tra(right);
return root;
}
TreeNode* constructMaximumBinaryTree(vector<int>& nums) {
if(nums.size()==0) return nullptr;
return tra(nums);
}
};
