给定一个二叉树的根节点 root ,返回它的 中序 遍历。
示例 1:

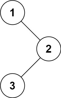
输入:root = [1,null,2,3]输出:[1,3,2]
示例 2:
输入:root = []
输出:[]
示例 3:
输入:root = [1]
输出:[1]
提示:
- 树中节点数目在范围
[0, 100]内 -100 <= Node.val <= 100
题解:
class Solution {
public:
void tra(TreeNode* root,vector<int>&vec){ //这里一定要加上&,在函数中vec是被修改的
if(root==nullptr) return;
tra(root->left,vec);
vec.push_back(root->val);
tra(root->right,vec);
}
vector<int> inorderTraversal(TreeNode* root) {
vector<int>ans;
tra(root,ans);
return ans;
}
};
