给你一个二叉搜索树的根节点 root ,返回 树中任意两不同节点值之间的最小差值 。
差值是一个正数,其数值等于两值之差的绝对值。
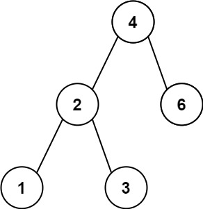
示例 1:

输入:root = [4,2,6,1,3]输出:1
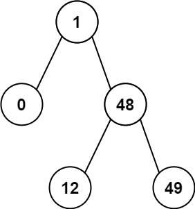
示例 2:

输入:root = [1,0,48,null,null,12,49]
输出:1
提示:
- 树中节点的数目范围是
[2, 104] 0 <= Node.val <= 105
class Solution {
public:
vector<int> a;
void tra(TreeNode* root){
if(root==nullptr) return;
tra(root->left);
a.push_back(root->val);
tra(root->right);
}
int getMinimumDifference(TreeNode* root) {
tra(root);
int mi=INT_MAX;
for (int i = 1; i < a.size();i++){
if(abs(a[i]-a[i-1])<mi) mi=abs(a[i] -a[i - 1]);
}
return mi;
}
};
