给定一个非空二叉树的根节点 root , 以数组的形式返回每一层节点的平均值。与实际答案相差 10-5 以内的答案可以被接受。
示例 1:

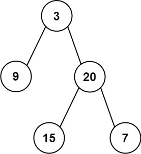
输入:root = [3,9,20,null,null,15,7]输出:[3.00000,14.50000,11.00000]解释:第 0 层的平均值为 3,第 1 层的平均值为 14.5,第 2 层的平均值为 11 。因此返回 [3, 14.5, 11] 。
示例 2:

输入:root = [3,9,20,15,7]
输出:[3.00000,14.50000,11.00000]
提示:
- 树中节点数量在
[1, 104]范围内 -231 <= Node.val <= 231 - 1
class Solution {
public:
//同样对层序得到的tem进行求和操作得到答案
vector<double> averageOfLevels(TreeNode* root) {
queue<TreeNode*> q;
vector<double> ans;
if(root!=nullptr) q.push(root);
while (!q.empty()) {
int len=q.size();
vector<int> tem;
for (int i = 0; i < len; i++) {
auto node= q.front();
q.pop();
tem.push_back(node->val);
if(node->left) q.push(node->left);
if(node->right) q.push(node->right);
}
double avr=0;
int num=tem.size();
for (auto it:tem) avr+=it;
avr=(1.0*avr)/num;
ans.push_back(avr);
}
return ans;
}
};
