给你二叉树的根节点 root 和一个表示目标和的整数 targetSum 。判断该树中是否存在 根节点到叶子节点 的路径,这条路径上所有节点值相加等于目标和 targetSum 。如果存在,返回 true ;否则,返回 false 。
叶子节点 是指没有子节点的节点。
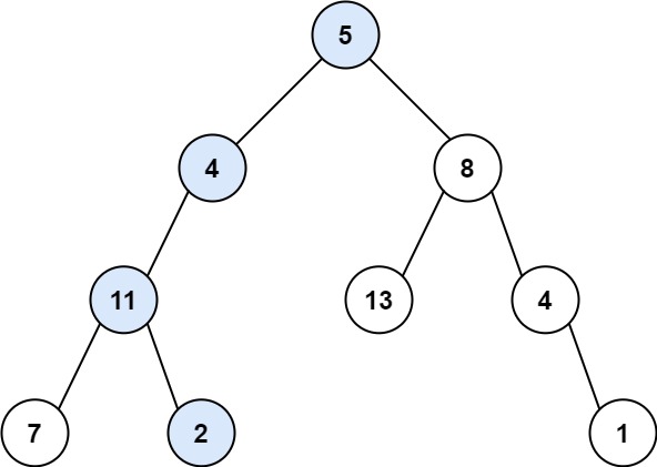
示例 1:

输入:root = [5,4,8,11,null,13,4,7,2,null,null,null,1], targetSum = 22输出:true解释:等于目标和的根节点到叶节点路径如上图所示。
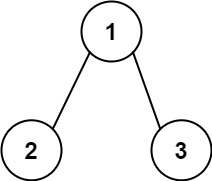
示例 2:

输入:root = [1,2,3], targetSum = 5
输出:false
解释:树中存在两条根节点到叶子节点的路径:
(1 --> 2): 和为 3
(1 --> 3): 和为 4
不存在 sum = 5 的根节点到叶子节点的路径。
示例 3:
输入:root = [], targetSum = 0
输出:false
解释:由于树是空的,所以不存在根节点到叶子节点的路径。
提示:
- 树中节点的数目在范围
[0, 5000]内 -1000 <= Node.val <= 1000-1000 <= targetSum <= 1000
class Solution {
public:
bool tra(TreeNode* root,int num,int targetSum){
//叶子节点找到了
if(!root->left&&!root->right&&num==targetSum) return true;
//叶子节点没找到
if(!root->left&&!root->right) return false;
//左孩子非空
if(root->left){
num+=root->left->val;
if(tra(root->left,num,targetSum)) return true ;
num-=root->left->val;
}
//右孩子非空
if(root->right){
num+=root->right->val;
if(tra(root->right,num,targetSum)) return true ;
num-=root->right->val;
}
//没有返回true就返回false
return false;
}
bool hasPathSum(TreeNode* root, int targetSum) {
if(root==nullptr) return false;
int num=0;
return tra(root,num+root->val,targetSum);
}
};
