给定二叉搜索树(BST)的根节点 root 和一个整数值 val。
你需要在 BST 中找到节点值等于 val 的节点。 返回以该节点为根的子树。 如果节点不存在,则返回 null 。
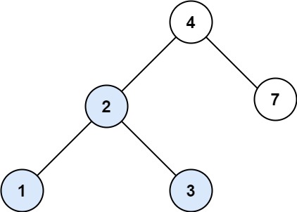
示例 1:

输入:root = [4,2,7,1,3], val = 2输出:[2,1,3]
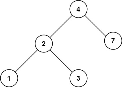
Example 2:

输入:root = [4,2,7,1,3], val = 5
输出:[]
提示:
- 数中节点数在
[1, 5000]范围内 1 <= Node.val <= 107root是二叉搜索树1 <= val <= 107
class Solution {
public:
TreeNode* searchBST(TreeNode* root, int val) {
if(root==nullptr) return nullptr;
if(root->val==val) return root;
if(root->val<val) return searchBST(root->right,val);
if(root->val>val) return searchBST(root->left,val);
//这个不能少,是中间找不到
return nullptr;
}
};
