给定一个二叉树,判断它是否是高度平衡的二叉树。
本题中,一棵高度平衡二叉树定义为:一个二叉树每个节点 的左右两个子树的高度差的绝对值不超过 1 。
示例 1:

输入:root = [3,9,20,null,null,15,7]输出:true
示例 2:

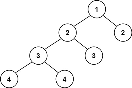
输入:root = [1,2,2,3,3,null,null,4,4]
输出:false
示例 3:
输入:root = []
输出:true
提示:
- 树中的节点数在范围
[0, 5000]内 -104 <= Node.val <= 104
class Solution {
public:
// 返回以该节点为根节点的二叉树的高度,如果不是二叉搜索树了则返回-1
//返回-1可以一直往上传递,利用好这一点
int getHeight(TreeNode* node) {
if (node == NULL) {
return 0;
}
int leftHeight = getHeight(node->left);
if (leftHeight == -1) return -1;
int rightHeight = getHeight(node->right);
if (rightHeight == -1) return -1;
return abs(leftHeight - rightHeight) > 1 ? -1 : 1 + max(leftHeight, rightHeight);
}
bool isBalanced(TreeNode* root) {
return getHeight(root) == -1 ? false : true;
}
};
