给你两棵二叉树: root1 和 root2 。
想象一下,当你将其中一棵覆盖到另一棵之上时,两棵树上的一些节点将会重叠(而另一些不会)。你需要将这两棵树合并成一棵新二叉树。合并的规则是:如果两个节点重叠,那么将这两个节点的值相加作为合并后节点的新值;否则,不为 null 的节点将直接作为新二叉树的节点。
返回合并后的二叉树。
注意: 合并过程必须从两个树的根节点开始。
示例 1:

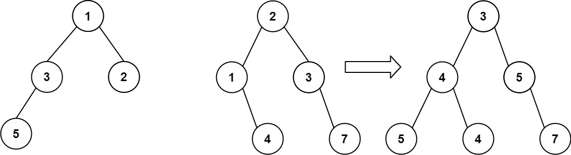
输入:root1 = [1,3,2,5], root2 = [2,1,3,null,4,null,7]输出:[3,4,5,5,4,null,7]
示例 2:
输入:root1 = [1], root2 = [1,2]
输出:[2,2]
提示:
- 两棵树中的节点数目在范围
[0, 2000]内 -104 <= Node.val <= 104
//递归递归递归
class Solution {
public:
TreeNode* mergeTrees(TreeNode* root1, TreeNode* root2) {
if(root1==nullptr&&root2 == nullptr) return nullptr;
if (root1 == nullptr )return root2;
if (root2 == nullptr) return root1;
auto root=new TreeNode();
if(root1!=nullptr){
root->val=root1->val;
if(root2 != nullptr) root->val+=root2->val;
}
else if(root1==nullptr) {
if (root2 != nullptr) root->val=root2->val;
}
root->left=mergeTrees(root1->left,root2->left);
root->right = mergeTrees(root1->right,root2->right);
return root;
}
};
