打家劫舍 III
| Category | Difficulty | Likes | Dislikes |
|---|---|---|---|
| algorithms | Medium (60.77%) | 1163 | - |
Tags
Companies
小偷又发现了一个新的可行窃的地区。这个地区只有一个入口,我们称之为 root 。
除了 root 之外,每栋房子有且只有一个“父“房子与之相连。一番侦察之后,聪明的小偷意识到“这个地方的所有房屋的排列类似于一棵二叉树”。 如果 两个直接相连的房子在同一天晚上被打劫 ,房屋将自动报警。
给定二叉树的 root 。返回 在不触动警报的情况下 ,小偷能够盗取的最高金额 。
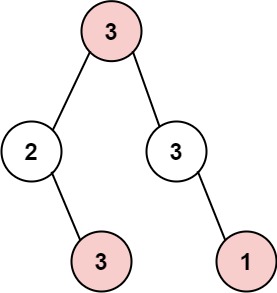
示例 1:

输入: root = [3,2,3,null,3,null,1]输出: 7解释: 小偷一晚能够盗取的最高金额 3 + 3 + 1 = 7
示例 2:

输入: root = [3,4,5,1,3,null,1]
输出: 9
解释: 小偷一晚能够盗取的最高金额 4 + 5 = 9
提示:
- 树的节点数在
[1, 104]范围内 0 <= Node.val <= 104
题解:
struct TreeNode {
int val;
TreeNode *left;
TreeNode *right;
TreeNode() : val(0), left(nullptr),right(nullptr) {}
TreeNode(int x) : val(x), left(nullptr),right(nullptr) {}
TreeNode(int x, TreeNode *left, TreeNode *right) : val(x), left(left), right(right) {}
};
class Solution {
public:
//并非只有两种情况,两种情况都是隔一层偷一层
//第一种包括root
//第二种从root下一层开始
//其实还有可以节点不偷,孩子节点也不偷
int rob(TreeNode* root) {
vector<int>ans=tra(root);
return max(ans[0],ans[1]);
}
vector<int> tra(TreeNode* cur){//vector<int> 的数组大小为2,一个不偷,一个偷
if(cur==nullptr) return {0,0};
vector<int> left = tra(cur->left);
vector<int> right = tra(cur->right);
//不偷cur,值就是两个子节点各自的最大值
int val1=max(left[0],left[1])+max(right[0],right[1]);
//偷cur,值是cur自身val加上两个不偷的子节点
int val2=cur->val+left[0]+right[0];
return {val1,val2};
}
};
