给你一个二叉树的根节点 root ,按 任意顺序 ,返回所有从根节点到叶子节点的路径。
叶子节点 是指没有子节点的节点。
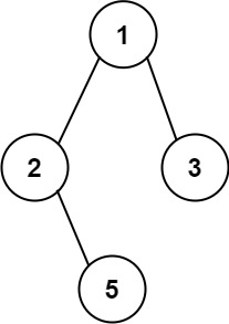
示例 1:

输入:root = [1,2,3,null,5]输出:["1->2->5","1->3"]
示例 2:
输入:root = [1]
输出:["1"]
提示:
- 树中节点的数目在范围
[1, 100]内 -100 <= Node.val <= 100
class Solution {
public:
//中序遍历,存储节点,到达叶子节点后对存储的数组进行操作
void tra(TreeNode* root,vector<int>&nodes,vector<string>& ans){
nodes.push_back(root->val);
if(root->left==nullptr&&root->right == nullptr){
string str;
for (int i = 0; i < nodes.size()-1; i++)
{
str+=to_string(nodes[i]);
str+="->";
}
str+=to_string(nodes[nodes.size() -1]);
ans.push_back(str);
return;
}
if(root->left) {
tra(root->left,nodes,ans);
nodes.pop_back();
}
if(root->right){
tra(root->right,nodes,ans);
nodes.pop_back();
}
}
vector<string> binaryTreePaths(TreeNode* root) {
vector<string> ans;
vector<int> nodes;
tra(root,nodes,ans);
return ans;
}
};
