给你二叉搜索树的根节点 root ,同时给定最小边界low 和最大边界 high。通过修剪二叉搜索树,使得所有节点的值在[low, high]中。修剪树 不应该 改变保留在树中的元素的相对结构 (即,如果没有被移除,原有的父代子代关系都应当保留)。 可以证明,存在 唯一的答案 。
所以结果应当返回修剪好的二叉搜索树的新的根节点。注意,根节点可能会根据给定的边界发生改变。
示例 1:

输入:root = [1,0,2], low = 1, high = 2输出:[1,null,2]
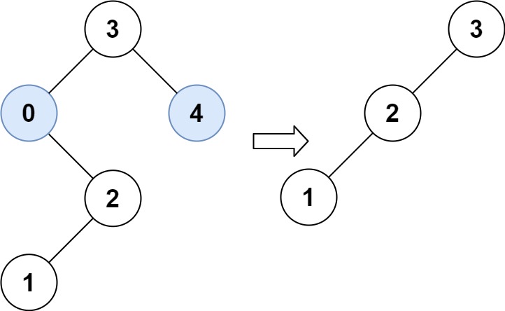
示例 2:

输入:root = [3,0,4,null,2,null,null,1], low = 1, high = 3
输出:[3,2,null,1]
提示:
- 树中节点数在范围
[1, 104]内 0 <= Node.val <= 104- 树中每个节点的值都是 唯一 的
- 题目数据保证输入是一棵有效的二叉搜索树
0 <= low <= high <= 104
class Solution {
public:
TreeNode* trimBST(TreeNode* root, int low, int high) {
if(root==nullptr) return nullptr;
if(root->val<low) return trimBST(root->right,low,high);
if (root->val> high)return trimBST(root->left,low, high );
root->left=trimBST(root->left,low,high);
root->right=trimBST(root->right,low,high);
return root;
}
};
