给你一个链表,删除链表的倒数第 n 个结点,并且返回链表的头结点。
示例 1:

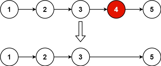
输入:head = [1,2,3,4,5], n = 2输出:[1,2,3,5]
示例 2:
输入:head = [1], n = 1
输出:[]
示例 3:
输入:head = [1,2], n = 1
输出:[1]
提示:
- 链表中结点的数目为
sz 1 <= sz <= 300 <= Node.val <= 1001 <= n <= sz
进阶:你能尝试使用一趟扫描实现吗?
//双指针,相对距离
class Solution {
public:
ListNode* removeNthFromEnd(ListNode* head, int n) {
ListNode* dummy=new ListNode(0);
dummy->next = head;
ListNode* right = dummy;
ListNode* left = dummy;
//n=n+1;
while (n--)
{
right=right->next;
//n--;
}
while (right->next!=nullptr){
right=right->next;
left = left->next;
}
//这里的left就是要找的删除的结点的前一个
ListNode* tem=left->next;
left->next=left->next->next;
delete tem;
return dummy->next;
}
};
