给你一个含重复值的二叉搜索树(BST)的根节点 root ,找出并返回 BST 中的所有 众数(即,出现频率最高的元素)。
如果树中有不止一个众数,可以按 任意顺序 返回。
假定 BST 满足如下定义:
- 结点左子树中所含节点的值 小于等于 当前节点的值
- 结点右子树中所含节点的值 大于等于 当前节点的值
- 左子树和右子树都是二叉搜索树
示例 1:

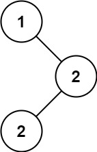
输入:root = [1,null,2,2]输出:[2]
示例 2:
输入:root = [0]
输出:[0]
提示:
- 树中节点的数目在范围
[1, 104]内 -105 <= Node.val <= 105
进阶:你可以不使用额外的空间吗?(假设由递归产生的隐式调用栈的开销不被计算在内)
class Solution {
public:
void tra(TreeNode* root,unordered_map<int,int>& mp){
if(root==nullptr) return;
mp[root->val]++;
tra(root->left, mp);
tra(root->right, mp);
}
bool static cmp(const pair<int,int> &a,const pair<int,int> &b){
return a.second>b.second;
}
vector<int> findMode(TreeNode* root) {
unordered_map<int, int> mp;
vector<int> ans;
if(root==nullptr) return ans;
tra(root,mp);
vector<pair<int,int>> tem(mp.begin(),mp.end());
sort(tem.begin(),tem.end(),cmp);
ans.push_back(tem[0].first);
for (int i = 1; i < tem.size();i++){
if(tem[i].second==tem[0].second) ans.push_back(tem[i].first);
else break;
}
return ans;
}
};
