给你一个二叉树的根节点 root , 检查它是否轴对称。
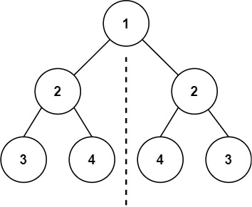
示例 1:

输入:root = [1,2,2,3,4,4,3]输出:true
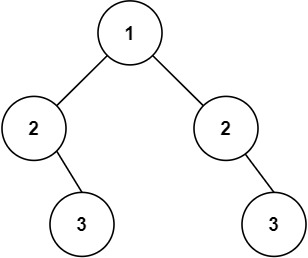
示例 2:

输入:root = [1,2,2,null,3,null,3]输出:false
提示:
- 树中节点数目在范围
[1, 1000]内 -100 <= Node.val <= 100
//递归两颗树是否相同class Solution {public:bool comp(TreeNode* left,TreeNode *right){if(left==nullptr&&right==nullptr) return true;else if(left == nullptr && right != nullptr) return false;else if (left != nullptr && right == nullptr)return false;else if(left->val!=right->val) return false;bool outside=comp(right->right,left->left);bool inside = comp(right->left,left->right);return inside&&outside;}bool isSymmetric(TreeNode* root) {if(root==nullptr) return true;return comp(root->right, root->left);}};
