给定一个二叉树的 根节点 root,请找出该二叉树的 最底层 最左边 节点的值。
假设二叉树中至少有一个节点。
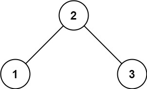
示例 1:

输入: root = [2,1,3]输出: 1
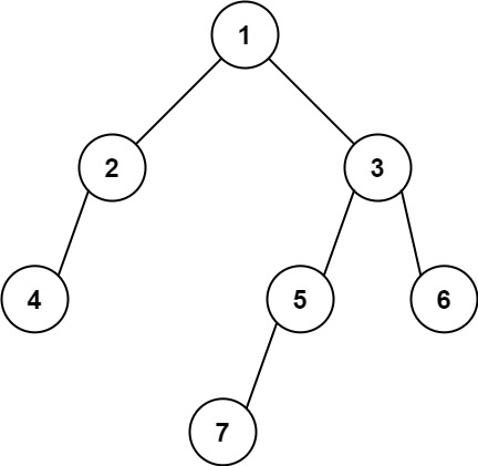
示例 2:

输入: [1,2,3,4,null,5,6,null,null,7]输出: 7
提示:
- 二叉树的节点个数的范围是
[1,104] -231 <= Node.val <= 231 - 1
class Solution {public:int findBottomLeftValue(TreeNode* root) {queue<TreeNode*> que;if (root != NULL) que.push(root);int result = 0;while (!que.empty()) {int size = que.size();for (int i = 0; i < size; i++) {auto node = que.front();que.pop();// 记录最后一行第一个元素//这里的result是会一直变化的,直到最后一行跳出whileif (i == 0) result = node->val;if (node->left) que.push(node->left);if (node->right) que.push(node->right);}}return result;}};
