给定二叉搜索树(BST)的根节点 root 和要插入树中的值 value ,将值插入二叉搜索树。 返回插入后二叉搜索树的根节点。 输入数据 保证 ,新值和原始二叉搜索树中的任意节点值都不同。
注意,可能存在多种有效的插入方式,只要树在插入后仍保持为二叉搜索树即可。 你可以返回 任意有效的结果 。
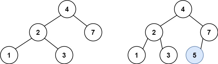
示例 1:

输入:root = [4,2,7,1,3], val = 5输出:[4,2,7,1,3,5]解释:另一个满足题目要求可以通过的树是:
示例 2:
输入:root = [40,20,60,10,30,50,70], val = 25输出:[40,20,60,10,30,50,70,null,null,25]
示例 3:
输入:root = [4,2,7,1,3,null,null,null,null,null,null], val = 5输出:[4,2,7,1,3,5]
提示:
- 树中的节点数将在
[0, 104]的范围内。 -108 <= Node.val <= 108- 所有值
Node.val是 独一无二 的。 -108 <= val <= 108- 保证
val在原始BST中不存在。
class Solution {public:TreeNode* insertIntoBST(TreeNode* root, int val) {if(root == nullptr){TreeNode* node=new TreeNode(val);return node;}if(root->val>val) root->left= insertIntoBST(root->left,val);if(root->val<val) root->right= insertIntoBST(root->right,val);return root;}};
