给定两个整数数组 inorder 和 postorder ,其中 inorder 是二叉树的中序遍历, postorder 是同一棵树的后序遍历,请你构造并返回这颗 二叉树 。
示例 1:

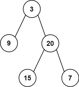
输入:inorder = [9,3,15,20,7], postorder = [9,15,7,20,3]输出:[3,9,20,null,null,15,7]
示例 2:
输入:inorder = [-1], postorder = [-1]输出:[-1]
提示:
1 <= inorder.length <= 3000postorder.length == inorder.length-3000 <= inorder[i], postorder[i] <= 3000inorder和postorder都由 不同 的值组成postorder中每一个值都在inorder中inorder保证是树的中序遍历postorder保证是树的后序遍历
class Solution {
public:
TreeNode* pre(vector<int>& inord,vector<int> &postord ){
if(postord.size() == 0) return nullptr;
//root的val
int rootval=postord[postord.size() -1];
TreeNode* root=new TreeNode();
root->val=rootval;
if(postord.size() == 1) return root;
//找到mid
int mid;
for (mid = 0; mid<inord.size(); mid++) {
if (inord[mid] ==rootval) break;
}
vector<int> leftin(inord.begin(),inord.begin()+mid);
vector<int> rightin(inord.begin() +mid+1,inord.end()); //end是取不到的
vector<int> leftpost(postord.begin(),postord.begin()+mid);
vector<int> rightpost(postord.begin() +mid,postord.begin() +mid+rightin.size());
root->left=pre(leftin,leftpost);
root->right=pre(rightin,rightpost);
return root;
}
TreeNode* buildTree(vector<int>& inorder, vector<int>& postorder) {
if(inorder.size() == 0||postorder.size() == 0) return nullptr;
return pre(inorder,postorder);
}
};
