给你一个二叉树的根节点 root ,判断其是否是一个有效的二叉搜索树。
有效 二叉搜索树定义如下:
- 节点的左子树只包含 小于 当前节点的数。
- 节点的右子树只包含 大于 当前节点的数。
- 所有左子树和右子树自身必须也是二叉搜索树。
示例 1:

输入:root = [2,1,3]输出:true
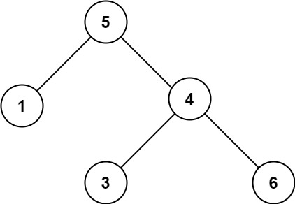
示例 2:

输入:root = [5,1,4,null,null,3,6]
输出:false
解释:根节点的值是 5 ,但是右子节点的值是 4 。
提示:
- 树中节点数目范围在
[1, 104]内 -231 <= Node.val <= 231 - 1
class Solution {
public:
vector<int> a;
void tra(TreeNode* root){
if(root==nullptr) return ;
tra(root->left) ;
a.push_back(root->val);
tra(root->right);
}
bool isValidBST(TreeNode* root) {
tra(root);
for (int i = 1; i < a.size(); i++){
if(a[i]<=a[i-1]) return false;
}
return true;
}
};
