给你一棵二叉树的根节点 root ,翻转这棵二叉树,并返回其根节点。
示例 1:

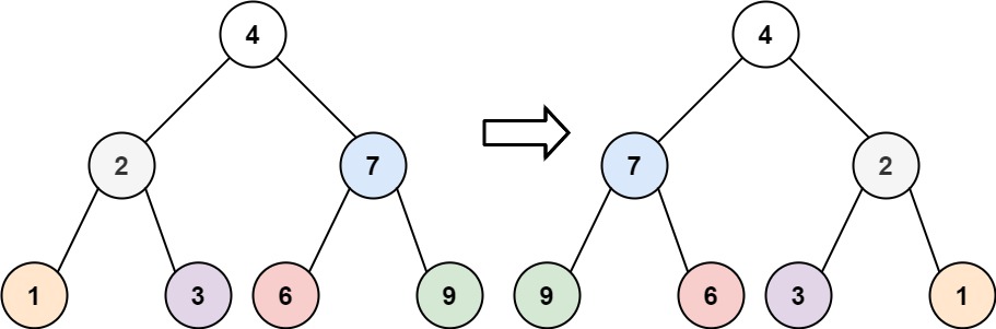
输入:root = [4,2,7,1,3,6,9]输出:[4,7,2,9,6,3,1]
示例 2:

输入:root = [2,1,3]
输出:[2,3,1]
示例 3:
输入:root = []
输出:[]
提示:
- 树中节点数目范围在
[0, 100]内 -100 <= Node.val <= 100
//前序
class Solution {
public:
TreeNode* invertTree(TreeNode* root) {
if (root == NULL) return root;
swap(root->left, root->right); // 中
invertTree(root->left); // 左
invertTree(root->right); // 右
return root;
}
};
//层序
class Solution {
public:
TreeNode* invertTree(TreeNode* root) {
queue<TreeNode*>q;
if(root!=nullptr) q.push(root);
while (!q.empty()) {
int len=q.size();
for (int i = 0; i < len; i++) {
TreeNode* node=q.front();
q.pop();
TreeNode* tem=node->left;
node->left=node->right;
node->right=tem;
if(node->left) q.push(node->left);
if(node->right) q.push(node->right);
}
}
return root;
}
};
