给你一个链表的头节点 head 和一个整数 val ,请你删除链表中所有满足 Node.val == val 的节点,并返回 新的头节点 。
示例 1:

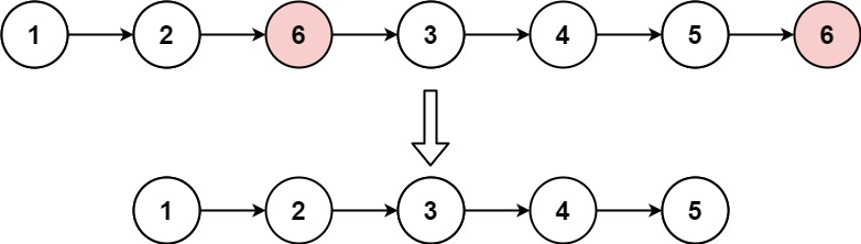
输入:head = [1,2,6,3,4,5,6], val = 6输出:[1,2,3,4,5]
示例 2:
输入:head = [], val = 1
输出:[]
示例 3:
输入:head = [7,7,7,7], val = 7
输出:[]
提示:
- 列表中的节点数目在范围
[0, 104]内 1 <= Node.val <= 500 <= val <= 50
class Solution {
public:
ListNode* removeElements(ListNode* head, int val) {
// ListNode* vhead; //不能用这个,这个不是设置虚拟头结点,这个是设置某个结点
ListNode* vhead= new ListNode(); //这个是设置虚拟头结点
vhead->next=head;
ListNode* x=vhead;
while (x != NULL&&x->next != NULL) {
if (x->next->val == val) { //这里是对非头结点操作,从头结点下一个开始操作
ListNode* del =x->next;
x->next=x->next->next;
delete del;
}
else {
x=x->next;
}
}
return vhead->next;
}
};
