给定一个二叉树的 根节点 root,想象自己站在它的右侧,按照从顶部到底部的顺序,返回从右侧所能看到的节点值。
示例 1:

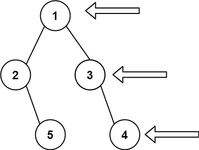
输入: [1,2,3,null,5,null,4]输出: [1,3,4]
示例 2:
输入: [1,null,3]
输出: [1,3]
示例 3:
输入: []
输出: []
提示:
- 二叉树的节点个数的范围是
[0,100] -100 <= Node.val <= 100
class Solution {
public:
//也是对得到的每一层tem之后再tem里找答案就行
vector<int> rightSideView(TreeNode* root) {
vector<int>ans;
queue<TreeNode*>q;
if(root!=nullptr) q.push(root);
while (!q.empty()) {
int len=q.size();
vector<int> tem; //依然层序遍历,只是把每层的最后一个back push进ans
for (int i = 0; i < len; i++) {
TreeNode* node=q.front();
q.pop();
tem.push_back(node->val);
if(node->left) q.push(node->left);
if(node->right) q.push(node->right);
}
ans.push_back(tem.back());
}
return ans;
}
};
