给你一个链表,两两交换其中相邻的节点,并返回交换后链表的头节点。你必须在不修改节点内部的值的情况下完成本题(即,只能进行节点交换)。
示例 1:

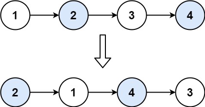
输入:head = [1,2,3,4]输出:[2,1,4,3]
示例 2:
输入:head = []
输出:[]
示例 3:
输入:head = [1]
输出:[1]
提示:
- 链表中节点的数目在范围
[0, 100]内 0 <= Node.val <= 100
class Solution {
public:
/*
struct ListNode {
int val;
ListNode *next;
ListNode() : val(0), next(nullptr) {}
ListNode(int x) : val(x), next(nullptr) {}
ListNode(int x, ListNode *next) : val(x), next(next) {}
};
*/
ListNode* swapPairs(ListNode* head) {
//虚头结点方便返回列表
ListNode* dummy = new ListNode(0); //空节点
dummy->next = head;
ListNode* right = dummy;
//right的next以及next->next都非空则还要翻转下一轮
while (right->next!=nullptr&&right->next->next!=nullptr){
ListNode* temp = right->next;
//记录第一轮最后结点指向下一轮开头结点
ListNode* temp2=right->next->next->next;
right->next=right->next->next;
right->next->next=temp;
right->next->next->next=temp2;
right=right->next->next;
}
return dummy->next;
}
};
