不同的二叉搜索树
| Category | Difficulty | Likes | Dislikes |
|---|---|---|---|
| algorithms | Medium (70.02%) | 1575 | - |
Tags
Companies
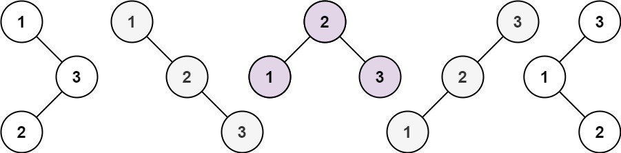
给你一个整数 n ,求恰由 n 个节点组成且节点值从 1 到 n 互不相同的 二叉搜索树 有多少种?返回满足题意的二叉搜索树的种数。
示例 1:

输入:n = 3输出:5
示例 2:
输入:n = 1
输出:1
提示:
1 <= n <= 19
题解:
class Solution {
public:
//想到用dp数组---每个未知数对应一个输出可能是一个标志
//dp数组的含义---这里就是答案,一般来说就是要输出的那个数
//怎么更新,这里是遍历头结点更新,然后在第二个for循环中增加dp[i]
int numTrees(int n) {
vector<int> dp(n+1);
dp[0]=1;
for (int i = 1; i <=n; i++){
for (int j = 1; j <=i; j++){ //头结点标号是j
dp[i]+=dp[j-1]*dp[i-j]; //这里是+=因为每次i变动,dp的数量都要增加
}
}
return dp[n];
}
};
