介绍
如果您正在训练二进制分类器,则可能使用二进制交叉熵/对数损失作为损失函数。
你有没有想过使用这种损失函数究竟是什么意思? 问题是,考虑到今天的库和框架的易用性,很容易忽略所使用的损失函数的真正含义。
动机
我正在寻找一篇博文,以一种视觉上清晰简洁的方式解释二进制交叉熵/对数损失背后的概念,所以我可以在Data Science Retreat向我的学生展示它。 由于我找不到任何符合我目的的东西,我自己负责编写任务:-)。
一个简单的分类问题
让我们从10个随机点开始:
x = [-2.2, -1.4, -0.8, 0.2, 0.4, 0.8, 1.2, 2.2, 2.9, 4.6]
这是我们唯一的特征:x。
现在,让我们为我们的点分配一些颜色:红色和绿色。 这些是我们的标签。
因此,我们的分类问题非常简单:鉴于我们的特征x,我们需要预测其标签:红色或绿色。
由于这是一个二元分类,我们也可以将这个问题描述为:“是点绿色”,或者更好的是,“点是绿色的概率是多少”? 理想情况下,绿点的概率为1.0(绿色),而红点的概率为0.0(绿色)。
在此设置中,绿点属于正类(YES,它们是绿色),而红点属于负类(NO,它们不是绿色)。
如果我们拟合模型来执行此分类,它将预测每个点的绿色概率。 根据我们对点的颜色的了解,我们如何评估预测概率的优劣(或差)? 这是损失功能的全部目的! 它应该为错误预测返回高值,为良好预测返回低值。
对于像我们的例子那样的二进制分类,典型的损失函数是二进制交叉熵/对数损失函数。
损失函数:二进制交叉熵/对数损失函数
如果你观察这个损失函数,这就是你会发现的:
Binary Cross-Entropy / Log Loss
其中y是标签(绿点为1,红点为0),p(y)是所有N点的点为绿色的预测概率。
阅读这个公式,它告诉你,对于每个绿点(y = 1),它将log(p(y))添加到损失中,即它是绿色的对数概率。 相反,它为每个红点(y = 0)添加log(1-p(y)),即,它为红色的对数概率。 不一定很难,当然也不是那么直观……
此外,熵与这一切有什么关系? 为什么我们首先记录概率? 这些是有效的问题,我希望在下面的“给我看数学”部分回答它们。
计算损失-可视化方法
首先,让我们根据他们的类别(正面或负面)分割点数,如下图所示:
现在,让我们训练一个Logistic回归来对我们的点进行分类。 拟合回归是一个S形曲线,表示任何给定x点的绿色概率。 它看起来像这样:
那么,对于属于正类(绿色)的所有点,我们的分类器给出的预测概率是多少? 这些是S形曲线下的绿色条形,在与这些点对应的x坐标处。
好的,到目前为止,真好! 负面阶级的观点怎么样? 请记住,S形曲线下的绿色条表示给定点为绿色的概率。 那么,给定点是红色的概率是多少? 红色条在S形曲线上方,当然:-)
总而言之,我们最终会得到这样的结论:
条形表示与每个点的相应真实类别相关联的预测概率!
好的,我们有预测的概率……通过计算二进制交叉熵/对数损失来评估它们的时间!
这些概率就是我们所需要的,所以,让我们摆脱x轴并将条带彼此相邻:
好吧,吊杆不再有意义了,所以让我们重新定位它们:

既然我们正试图计算损失,我们需要惩罚不好的预测,对吧? 如果与真实类相关的概率为1.0,我们需要将其损失为零。 相反,如果这个概率很低,比如0.01,我们需要它的损失是巨大的!
事实证明,对于这个目的,取概率的(负)对数就足够了(因为0.0和1.0之间的值的对数是负的,我们采用负对数来获得损失的正值)。
实际上,我们使用日志的原因来自交叉熵的定义,请查看下面的“给我看数学”部分了解更多详情。
下图给出了一个清晰的图片 - 如果真实类的预测概率接近零,则损失呈指数增长:
很公平! 让我们采用概率的(负)对数 - 这些是每个点的相应损失。
最后,我们计算所有这些损失的平均值。
瞧! 我们已经成功计算了这个玩具示例的二进制交叉熵/对数损失。 它是0.3329!
告诉我代码
如果你想仔细检查我们找到的值,只需运行下面的代码并亲自看看:-)
from sklearn.linear_model import LogisticRegressionfrom sklearn.metrics import log_lossimport numpy as npx = np.array([-2.2, -1.4, -.8, .2, .4, .8, 1.2, 2.2, 2.9, 4.6])y = np.array([0.0, 0.0, 1.0, 0.0, 1.0, 1.0, 1.0, 1.0, 1.0, 1.0])logr = LogisticRegression(solver='lbfgs')logr.fit(x.reshape(-1, 1), y)y_pred = logr.predict_proba(x.reshape(-1, 1))[:, 1].ravel()loss = log_loss(y, y_pred)print('x = {}'.format(x))print('y = {}'.format(y))print('p(y) = {}'.format(np.round(y_pred, 2)))print('Log Loss / Cross Entropy = {:.4f}'.format(loss))
告诉我数学(真的吗?!)
除了笑话之外,这篇文章并不打算在数学上倾向于……但是对于你们这些人,我的读者,想要了解熵的作用,所有这些中的对数,我们在这里:-)
如果你想深入了解信息理论,包括所有这些概念 - 熵,交叉熵等等 - 检查Chris Olah的帖子,它非常详细!
分布
让我们从分配点开始吧。 由于y表示我们的点的类(我们有3个红点和7个绿点),这就是它的分布,我们称之为q(y),如下所示:
熵
熵是与给定分布q(y)相关的不确定性的度量。
如果我们所有的积分都是绿色怎么办 那个分布的不确定性是什么? ZERO,对吗? 毕竟,对于一个点的颜色毫无疑问:它总是绿色的! 所以,熵是零!
另一方面,如果我们确切地知道一半的点是绿色而另一半点是红色的呢? 那是最糟糕的情况,对吗? 猜测点的颜色绝对没有优势:它完全是随机的! 对于这种情况,熵由下面的公式给出(我们有两个类别(颜色) - 红色或绿色 - 因此,2):
对于中间的其他情况,我们可以使用下面的公式计算分布的熵,如q(y),其中C是类的数量:
因此,如果我们知道随机变量的真实分布,我们就可以计算其熵。 但是,如果是这样的话,为什么首先要费心去训练分类器呢? 毕竟,我们知道真正的分布……
但是,如果我们不这样做呢? 我们可以尝试用其他一些分布近似真实分布,比如p(y)吗? 我们当然可以!:-)
交叉熵
让我们假设我们的观点遵循其他分布p(y)。 但我们知道它们实际上来自真实(未知)分布q(y),对吧?
如果我们像这样计算熵,我们实际上是在计算两个分布之间的交叉熵:
如果我们奇迹般地将p(y)与q(y)完美匹配,则交叉熵和熵的计算值也将匹配。
由于这可能永远不会发生,因此交叉熵将具有比在真实分布上计算的熵更大的BIGGER值。
事实证明,交叉熵和熵之间的这个区别有一个名字……
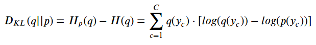
Kullback-Leibler发散
Kullback-Leibler Divergence,简称“KL Divergence”,衡量两种发行版之间的差异:
这意味着,p(y)越接近q(y),发散越低,因此交叉熵越低。
所以,我们需要找到一个好的p(y)来使用……但是,这是我们的分类器应该做的,不是吗?! 确实如此! 它寻找最好的p(y),这是最小化交叉熵的那个。
损失函数
在训练期间,分类器使用其训练集中的N个点中的每一个来计算交叉熵损失,有效地拟合分布p(y)! 由于每个点的概率是1 / N,因此交叉熵由下式给出:
还记得上面的图6到10吗? 我们需要在与每个点的真实类相关联的概率之上计算交叉熵。 这意味着使用绿色条形作为正类(y = 1)中的点,使用红色条形作为负类中的点(y = 0),或者数学上说:
最后一步是计算两个类中所有点的平均值,正面和负面:
最后,通过一些操作,我们可以采用相同的公式,从正面或负面的类中获取任何一点:
瞧! 我们回到二进制交叉熵/日志丢失的原始公式:-)
最后的想法
我真的希望这篇文章能够对一个经常被认为理所当然的概念,即二元交叉熵作为损失函数的概念有所启发。 此外,我也希望它能够向您展示机器学习和信息理论如何联系在一起。
