给你链表的头节点 head ,每 k 个节点一组进行翻转,请你返回修改后的链表。
k 是一个正整数,它的值小于或等于链表的长度。如果节点总数不是 k 的整数倍,那么请将最后剩余的节点保持原有顺序。
你不能只是单纯的改变节点内部的值,而是需要实际进行节点交换。
示例 1:
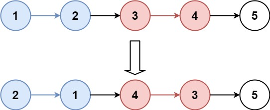
输入:head = [1,2,3,4,5], k = 2
输出:[2,1,4,3,5]
示例 2:
输入:head = [1,2,3,4,5], k = 3
输出:[3,2,1,4,5]
/*** Definition for singly-linked list.* function ListNode(val, next) {* this.val = (val===undefined ? 0 : val)* this.next = (next===undefined ? null : next)* }*//*** @param {ListNode} head* @param {number} k* @return {ListNode}*/var reverseKGroup = function (head, k) {if (head === null) return null;let a = b = head;for (let i = 0; i < k; i += 1) {if (b === null) return head;b = b.next;}// 反转前 K 个元素let newHead = reverse(a, b);a.next = reverseKGroup(b, k);return newHead};const reverse = (a, b) => {let pre = null;let cur = a;let nxt = a;// while 终止的条件改一下就行了while (cur !== b) {nxt = cur.next;cur.next = pre;pre = cur;cur = nxt;}// 返回反转后的头结点return pre;}

