给你两个单链表的头节点 headA 和 headB ,请你找出并返回两个单链表相交的起始节点。如果两个链表不存在相交节点,返回 null 。
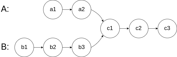
图示两个链表在节点 c1 开始相交:

题目数据 保证 整个链式结构中不存在环。
注意,函数返回结果后,链表必须 保持其原始结构 。
自定义评测:
评测系统 的输入如下(你设计的程序 不适用 此输入):
intersectVal - 相交的起始节点的值。如果不存在相交节点,这一值为 0
listA - 第一个链表
listB - 第二个链表
skipA - 在 listA 中(从头节点开始)跳到交叉节点的节点数
skipB - 在 listB 中(从头节点开始)跳到交叉节点的节点数
评测系统将根据这些输入创建链式数据结构,并将两个头节点 headA 和 headB 传递给你的程序。如果程序能够正确返回相交节点,那么你的解决方案将被 视作正确答案 。
/*** Definition for singly-linked list.* function ListNode(val) {* this.val = val;* this.next = null;* }*//*** @param {ListNode} headA* @param {ListNode} headB* @return {ListNode}*/var getIntersectionNode = function (headA, headB) {// p1 指向 A 链表头结点,p2 指向 B 链表头结点p1 = headA, p2 = headB;while (p1 !== p2) {// p1 走一步,如果走到 A 链表末尾,转到 B 链表if (p1 === null) p1 = headB;else p1 = p1.next;// p2 走一步,如果走到 B 链表末尾,转到 A 链表if (p2 === null) p2 = headA;else p2 = p2.next;}return p1;};

