给你二叉树的根节点 root 和一个表示目标和的整数 targetSum 。判断该树中是否存在 根节点到叶子节点 的路径,这条路径上所有节点值相加等于目标和 targetSum 。如果存在,返回 true ;否则,返回 false 。
叶子节点 是指没有子节点的节点。
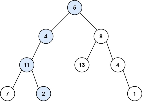
示例 1:

输入:root = [5,4,8,11,null,13,4,7,2,null,null,null,1], targetSum = 22
输出:true
解释:等于目标和的根节点到叶节点路径如上图所示。
示例 2:
输入:root = [1,2,3], targetSum = 5
输出:false
解释:树中存在两条根节点到叶子节点的路径:
(1 —> 2): 和为 3
(1 —> 3): 和为 4
不存在 sum = 5 的根节点到叶子节点的路径。
示例 3:
输入:root = [], targetSum = 0
输出:false
解释:由于树是空的,所以不存在根节点到叶子节点的路径。
/*** Definition for a binary tree node.* function TreeNode(val, left, right) {* this.val = (val===undefined ? 0 : val)* this.left = (left===undefined ? null : left)* this.right = (right===undefined ? null : right)* }*//*** @param {TreeNode} root* @param {number} targetSum* @return {boolean}*/var hasPathSum = function (root, targetSum) {// if (!root) return true;// if (root.left == root.right && root.val == targetSum) {// return true;// }// return hasPathSum(root.left, targetSum - root.val) ||// hasPathSum(root.right, targetSum - root.val);let sum = 0, res = false;if (!root) return res;const traverse = (root) => {if (!root) return;sum += root.val;// 叶子节点为nullif (!root.left && !root.right) {if (sum === targetSum) res = true}traverse(root.left)traverse(root.right)sum -= root.val}traverse(root);return res};

