给你二叉树的根节点 root ,返回其节点值的 层序遍历 。 (即逐层地,从左到右访问所有节点)。
示例 1:
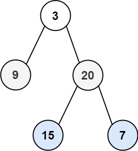
输入:root = [3,9,20,null,null,15,7]
输出:[[3],[9,20],[15,7]]
示例 2:
输入:root = [1]
输出:[[1]]
示例 3:
输入:root = []
输出:[]
/*** Definition for a binary tree node.* function TreeNode(val, left, right) {* this.val = (val===undefined ? 0 : val)* this.left = (left===undefined ? null : left)* this.right = (right===undefined ? null : right)* }*//*** @param {TreeNode} root* @return {number[][]}*/var levelOrder = function (root) {// 1.记录层级// 2.并将每层数据放在相同层级数组中// 3.逐层遍历,可以用广度优先if (!root) { return [] }const stack = [[root, 0]]; // 记录层级,默认为0let res = [];while (stack.length) {// 抛出栈头const [n, l] = stack.shift();// 层级记录了,那么就需要把值根据层级放入数组if (!res[l]) {res.push([n.val])} else {res[l].push(n.val)}if (n.left) { stack.push([n.left, l + 1]) };if (n.right) { stack.push([n.right, l + 1]) }}return res};

