给定一个二叉树的根 root 和两个整数 val 和 depth ,在给定的深度 depth 处添加一个值为 val 的节点行。
注意,根节点 root 位于深度 1 。
加法规则如下:
给定整数 depth,对于深度为 depth - 1 的每个非空树节点 cur ,创建两个值为 val 的树节点作为 cur 的左子树根和右子树根。
cur 原来的左子树应该是新的左子树根的左子树。
cur 原来的右子树应该是新的右子树根的右子树。
如果 depth == 1 意味着 depth - 1 根本没有深度,那么创建一个树节点,值 val 作为整个原始树的新根,而原始树就是新根的左子树。
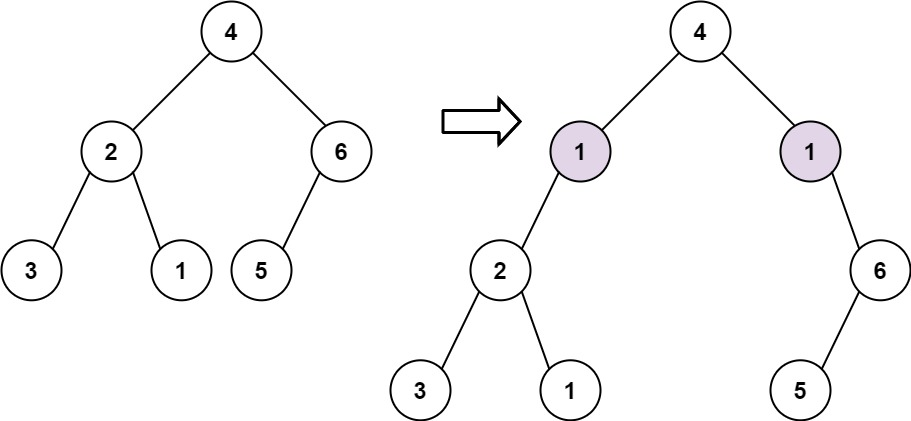
示例 1:
输入: root = [4,2,6,3,1,5], val = 1, depth = 2
输出: [4,1,1,2,null,null,6,3,1,5]
示例 2:
输入: root = [4,2,null,3,1], val = 1, depth = 3
输出: [4,2,null,1,1,3,null,null,1]
/*** Definition for a binary tree node.* function TreeNode(val, left, right) {* this.val = (val====undefined ? 0 : val)* this.left = (left====undefined ? null : left)* this.right = (right====undefined ? null : right)* }*//*** @param {TreeNode} root* @param {number} val* @param {number} depth* @return {TreeNode}*/var addOneRow = function (root, val, depth) {// 插入到第一行if (depth === 1) {return new TreeNode(val, root);}let curDepth = 0;// 遍历二叉树,走到对应行进行插入const traverse = (root) => {if (root === null) return;// 前序遍历curDepth++;if (curDepth === depth - 1) {let leftNode = new TreeNode(val, root.left);let rightNode = new TreeNode(val, null, root.right);root.left = leftNode;root.right = rightNode;}traverse(root.left);traverse(root.right);// 后序遍历curDepth--;};traverse(root);return root;};

