给定一棵二叉树的根节点 root ,请找出该二叉树中每一层的最大值。
示例1:
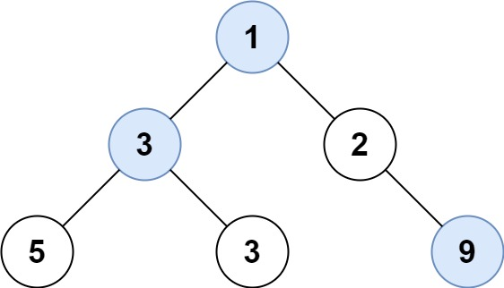
输入: root = [1,3,2,5,3,null,9]
输出: [1,3,9]
示例2:
输入: root = [1,2,3]
输出: [1,3]
/*** Definition for a binary tree node.* function TreeNode(val, left, right) {* this.val = (val===undefined ? 0 : val)* this.left = (left===undefined ? null : left)* this.right = (right===undefined ? null : right)* }*//*** @param {TreeNode} root* @return {number[]}*/var largestValues = function (root) {// 层级遍历,找每一层最大值let res = [];const traverse = (node, depth) => {if (!node) return;if (res[depth] !== undefined) {res[depth] = Math.max(res[depth], node.val);} else {res[depth] = node.val;}traverse(node.left, depth + 1);traverse(node.right, depth + 1);}traverse(root, 0);return res;};

