给定一个 N 叉树,找到其最大深度。
最大深度是指从根节点到最远叶子节点的最长路径上的节点总数。
N 叉树输入按层序遍历序列化表示,每组子节点由空值分隔(请参见示例)。
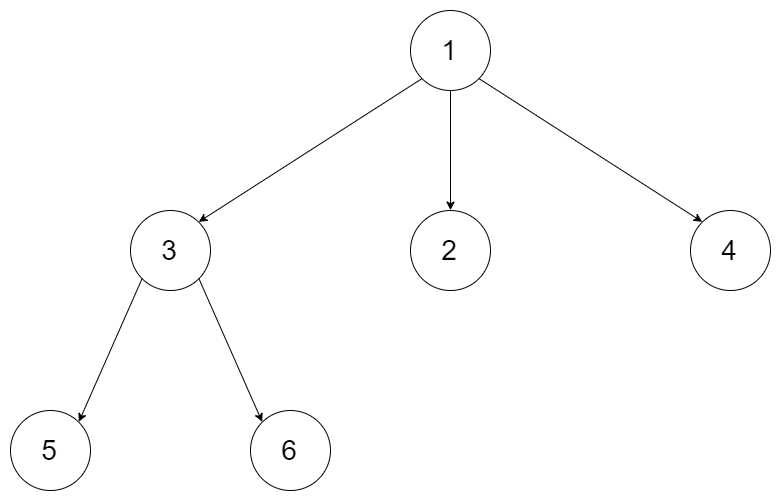
示例 1:
输入:root = [1,null,3,2,4,null,5,6]
输出:3
示例 2:
输入:root = [1,null,2,3,4,5,null,null,6,7,null,8,null,9,10,null,null,11,null,12,null,13,null,null,14]
输出:5
/*** // Definition for a Node.* function Node(val,children) {* this.val = val;* this.children = children;* };*//*** @param {Node|null} root* @return {number}*/var maxDepth = function (root) {// 先按照遍历思路// let depth = 0, res = 0;// const traverse = (root) => {// if (!root) return;// depth++// res = Math.max(res, depth);// for (let i = 0; i < root.children.length; i += 1) {// traverse(root.children[i])// }// depth--// }// traverse(root);// return res// 再来分解问题思路if (!root) return 0;let depth = 0;for (let child of root.children) {depth = Math.max(depth, maxDepth(child))}return depth + 1};

