给定一个二叉树,找出其最小深度。
最小深度是从根节点到最近叶子节点的最短路径上的节点数量。
说明:叶子节点是指没有子节点的节点。
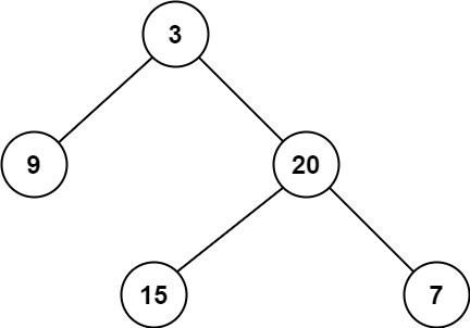
示例 1:
输入:root = [3,9,20,null,null,15,7]
输出:2
示例 2:
输入:root = [2,null,3,null,4,null,5,null,6]
输出:5
/*** Definition for a binary tree node.* function TreeNode(val, left, right) {* this.val = (val===undefined ? 0 : val)* this.left = (left===undefined ? null : left)* this.right = (right===undefined ? null : right)* }*//*** @param {TreeNode} root* @return {number}*/var minDepth = function (root) {if (!root) return 0;// 初始化为1let stack = [[root, 1]]while (stack.length) {const [node, level] = stack.shift();// 如果左右节点都为null时,说明为最小节点if (!node.left && !node.right) {return level}// 不为null时层级加1if (node.left) stack.push([node.left, level + 1])if (node.right) stack.push([node.right, level + 1])}};

