给你一棵 完全二叉树 的根节点 root ,求出该树的节点个数。
完全二叉树 的定义如下:在完全二叉树中,除了最底层节点可能没填满外,其余每层节点数都达到最大值,并且最下面一层的节点都集中在该层最左边的若干位置。若最底层为第 h 层,则该层包含 1~ 2h 个节点。
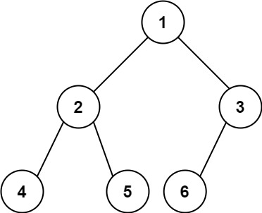
示例 1:
输入:root = [1,2,3,4,5,6]
输出:6
示例 2:
输入:root = []
输出:0
示例 3:
输入:root = [1]
输出:1
/*** Definition for a binary tree node.* function TreeNode(val, left, right) {* this.val = (val===undefined ? 0 : val)* this.left = (left===undefined ? null : left)* this.right = (right===undefined ? null : right)* }*//*** @param {TreeNode} root* @return {number}*/var countNodes = function (root) {if (!root) return 0// 棵完全二叉树的两棵子树,至少有一棵是满二叉树,通过树高计算let leftRoot = root, rightRoot = root;let leftHight = 0, rightHight = 0;// 分别记录左右子树高度while (leftRoot !== null) {leftRoot = leftRoot.left;leftHight += 1;}while (rightRoot !== null) {rightRoot = rightRoot.right;rightHight += 1;}// 如果高度相同,则是一颗满二叉树if (leftHight === rightHight) {return Math.pow(2, leftHight) - 1;}// 不同按照普通高度计算 =====================================return countNodes(root.left) + countNodes(root.right) + 1};

