给定一个 N 叉树,返回其节点值的层序遍历。(即从左到右,逐层遍历)。
树的序列化输入是用层序遍历,每组子节点都由 null 值分隔(参见示例)。
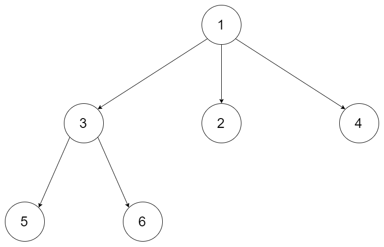
示例 1:
输入:root = [1,null,3,2,4,null,5,6]
输出:[[1],[3,2,4],[5,6]]
示例 2:
输入:root = [1,null,2,3,4,5,null,null,6,7,null,8,null,9,10,null,null,11,null,12,null,13,null,null,14]
输出:[[1],[2,3,4,5],[6,7,8,9,10],[11,12,13],[14]]
/*** // Definition for a Node.* function Node(val,children) {* this.val = val;* this.children = children;* };*//*** @param {Node|null} root* @return {number[][]}*/var levelOrder = function (root) {let res = [];const traverse = (node, depth) => {if (!node) returnif (res[depth]) {res[depth].push(node.val);} else {res[depth] = [node.val];}for (let i = 0; i < node.children.length; i += 1) {traverse(node.children[i], depth + 1);}}traverse(root, 0);return res;};

