给你一个链表,删除链表的倒数第 n 个结点,并且返回链表的头结点。
示例 1:
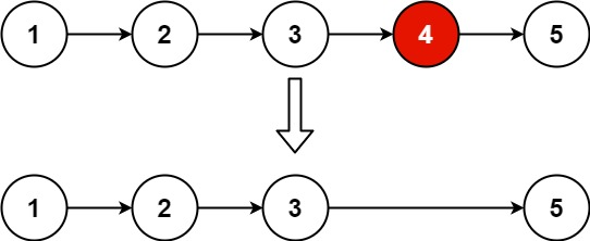
输入:head = [1,2,3,4,5], n = 2
输出:[1,2,3,5]
示例 2:
输入:head = [1], n = 1
输出:[]
示例 3:
输入:head = [1,2], n = 1
输出:[1]
/*** Definition for singly-linked list.* function ListNode(val, next) {* this.val = (val===undefined ? 0 : val)* this.next = (next===undefined ? null : next)* }*//*** @param {ListNode} head* @param {number} n* @return {ListNode}*/var removeNthFromEnd = function (head, n) {// 定义快慢指针,快指针先走,当为null时,慢指针为删除节点let fast = slow = head;// 先走n步for (let i = 0; i < n; i += 1) {fast = fast.next}if (fast == null) return head.next;// fast 往后走,存在时 慢指针继续while (fast && fast.next) {fast = fast.next;slow = slow.next;}slow.next = slow.next.nextreturn head;};

