题目
You are given the head of a linked list, and an integer k.
Return the head of the linked list after swapping the values of the kth node from the beginning and the kth node from the end (the list is 1-indexed).
Example 1:

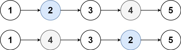
Input: head = [1,2,3,4,5], k = 2Output: [1,4,3,2,5]
Example 2:
Input: head = [7,9,6,6,7,8,3,0,9,5], k = 5Output: [7,9,6,6,8,7,3,0,9,5]
Example 3:
Input: head = [1], k = 1Output: [1]
Example 4:
Input: head = [1,2], k = 1Output: [2,1]
Example 5:
Input: head = [1,2,3], k = 2Output: [1,2,3]
Constraints:
- The number of nodes in the list is
n. 1 <= k <= n <= 10^50 <= Node.val <= 100
题意
交换链表中第k个结点和倒数第k个结点的值。
思路
指针p指向head向后移动,当p指向第k个结点时,指针q指向head并随p一起向后移动,当p指向最后一个结点时,q指向倒数第k个结点。
代码实现
Java
class Solution {public ListNode swapNodes(ListNode head, int k) {ListNode p = head, q = null;ListNode a = null, b = null;while (k > 1) {p = p.next;k--;}a = p;q = head;while (p.next != null) {p = p.next;q = q.next;}b = q;int tmp = a.val;a.val = b.val;b.val = tmp;return head;}}
