题目
You are given the root of a binary search tree (BST), where exactly two nodes of the tree were swapped by mistake. Recover the tree without changing its structure.
Follow up: A solution using O(n) space is pretty straight forward. Could you devise a constant space solution?
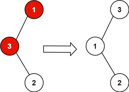
Example 1:

Input: root = [1,3,null,null,2]Output: [3,1,null,null,2]Explanation: 3 cannot be a left child of 1 because 3 > 1. Swapping 1 and 3 makes the BST valid.
Example 2:

Input: root = [3,1,4,null,null,2]Output: [2,1,4,null,null,3]Explanation: 2 cannot be in the right subtree of 3 because 2 < 3. Swapping 2 and 3 makes the BST valid.
Constraints:
- The number of nodes in the tree is in the range
[2, 1000]. -2^31 <= Node.val <= 2^31 - 1
题意
给定一个BST,其中有两个结点的值互换了导致这个BST不符合定义。要求找到这两个结点并处理使满足BST的性质,同时不能改变树的结构。
思路
BST的性质:中序遍历得到一个单调递增的序列。
最简单的O(N)空间的方法是先用中序遍历得到序列,找到互换了的两个结点,再将它们换回来。
O(1)空间方法:不能使用常规的递归或栈的方法进行中序遍历,改用Morris遍历,中途找到互换的两个结点。
代码实现
Java
中序遍历 - O(N)空间
class Solution {public void recoverTree(TreeNode root) {List<TreeNode> nodes = new ArrayList<>();inorder(root, nodes);TreeNode A = null, B = null;for (int i = 1; i < nodes.size(); i++) {if (nodes.get(i).val < nodes.get(i - 1).val) {if (A == null) {A = nodes.get(i - 1);}B = nodes.get(i);}}int tmp = A.val;A.val = B.val;B.val = tmp;}private void inorder(TreeNode root, List<TreeNode> nodes) {if (root == null) {return;}inorder(root.left, nodes);nodes.add(root);inorder(root.right, nodes);}}
Morris遍历 - O(1)空间
class Solution {public void recoverTree(TreeNode root) {TreeNode A = null, B = null;TreeNode pre = null;while (root != null) {if (root.left != null) {TreeNode node = root.left;while (node.right != null && node.right != root) {node = node.right;}if (node.right == null) {node.right = root;root = root.left;continue;} else {node.right = null;}}if (pre != null && root.val < pre.val) {if (A == null) {A = pre;}B = root;}pre = root;root = root.right;}int tmp = A.val;A.val = B.val;B.val = tmp;}}
