题目
Given the root of an n-ary tree, return the preorder traversal of its nodes’ values.
Nary-Tree input serialization is represented in their level order traversal. Each group of children is separated by the null value (See examples)
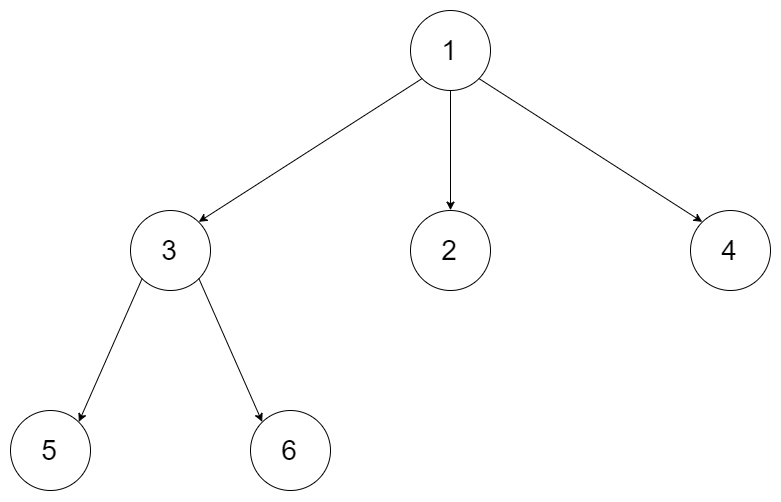
Example 1:

Input: root = [1,null,3,2,4,null,5,6]Output: [1,3,5,6,2,4]
Example 2:

Input: root = [1,null,2,3,4,5,null,null,6,7,null,8,null,9,10,null,null,11,null,12,null,13,null,null,14]Output: [1,2,3,6,7,11,14,4,8,12,5,9,13,10]
Constraints:
- The number of nodes in the tree is in the range
[0, 104]. 0 <= Node.val <= 10^4- The height of the n-ary tree is less than or equal to
1000.
Follow up: Recursive solution is trivial, could you do it iteratively?
题意
实现对一个随机叉树的前序遍历。
思路
递归或迭代。
代码实现
Java
递归
class Solution {public List<Integer> preorder(Node root) {List<Integer> list = new ArrayList<>();dfs(root, list);return list;}private void dfs(Node root, List<Integer> list) {if (root == null) return;list.add(root.val);for (Node child : root.children) {dfs(child, list);}}}
迭代
class Solution {public List<Integer> preorder(Node root) {List<Integer> list = new ArrayList<>();Deque<Node> stack = new ArrayDeque<>();if (root != null) stack.push(root);while (!stack.isEmpty()) {Node cur = stack.pop();list.add(cur.val);for (int i = cur.children.size() - 1; i >= 0; i--) {stack.push(cur.children.get(i));}}return list;}}
