题目
You are given the root of a binary tree with n nodes, where each node is uniquely assigned a value from 1 to n. You are also given a sequence of n values voyage, which is the desired pre-order traversal of the binary tree.
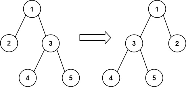
Any node in the binary tree can be flipped by swapping its left and right subtrees. For example, flipping node 1 will have the following effect:

Flip the smallest number of nodes so that the pre-order traversal of the tree matches voyage.
Return a list of the values of all flipped nodes. You may return the answer in any order. If it is impossible to flip the nodes in the tree to make the pre-order traversal match voyage, return the list [-1].
Example 1:

Input: root = [1,2], voyage = [2,1]Output: [-1]Explanation: It is impossible to flip the nodes such that the pre-order traversal matches voyage.
Example 2:

Input: root = [1,2,3], voyage = [1,3,2]Output: [1]Explanation: Flipping node 1 swaps nodes 2 and 3, so the pre-order traversal matches voyage.
Example 3:

Input: root = [1,2,3], voyage = [1,2,3]Output: []Explanation: The tree's pre-order traversal already matches voyage, so no nodes need to be flipped.
Constraints:
- The number of nodes in the tree is
n. n == voyage.length1 <= n <= 1001 <= Node.val, voyage[i] <= n- All the values in the tree are unique.
- All the values in
voyageare unique.
题意
给定一个二叉树和一个前序遍历序列,可以交换二叉树中任意结点的两个子树,问能否通过交换子树来得到一个新树,使其前序遍历序列与给定的序列相同。
思路
DFS。
代码实现
Java
class Solution {public List<Integer> flipMatchVoyage(TreeNode root, int[] voyage) {List<Integer> ans = new ArrayList<>();return dfs(root, voyage, 0, ans) != -1 ? ans : Arrays.asList(-1);}// 返回下一个应该比较的下标private int dfs(TreeNode cur, int[] voyage, int idx, List<Integer> ans) {if (cur == null) return idx;if (cur.val != voyage[idx]) return -1;int nidx = dfs(cur.left, voyage, idx + 1, ans);if (nidx != -1) return dfs(cur.right, voyage, nidx, ans);ans.add(cur.val); // 需要翻转nidx = dfs(cur.right, voyage, idx + 1, ans);if (nidx != -1) return dfs(cur.left, voyage, nidx, ans);return -1;}}
