题目
Given the root node of a binary search tree, return the sum of values of all nodes with a value in the range [low, high].
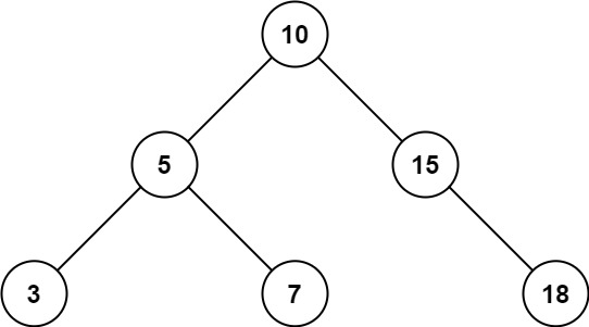
Example 1:

Input: root = [10,5,15,3,7,null,18], low = 7, high = 15Output: 32
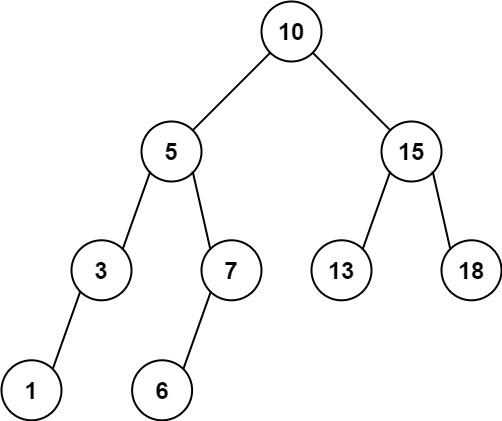
Example 2:

Input: root = [10,5,15,3,7,13,18,1,null,6], low = 6, high = 10Output: 23
Constraints:
- The number of nodes in the tree is in the range
[1, 2 * 10^4]. 1 <= Node.val <= 10^51 <= low <= high <= 10^5- All
Node.valare unique.
题意
求树中所有在指定范围内的值得和。
思路
DFS即可。
代码实现
Java
class Solution {public int rangeSumBST(TreeNode root, int low, int high) {if (root == null) {return 0;}int sum = root.val >= low && root.val <= high ? root.val : 0;return sum + rangeSumBST(root.left, low, high) + rangeSumBST(root.right, low, high);}}
