题目
Write a program to find the node at which the intersection of two singly linked lists begins.
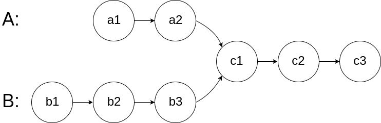
For example, the following two linked lists:

begin to intersect at node c1.
Example 1:
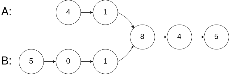
Input: intersectVal = 8, listA = [4,1,8,4,5], listB = [5,0,1,8,4,5], skipA = 2, skipB = 3Output: Reference of the node with value = 8Input Explanation: The intersected node's value is 8 (note that this must not be 0 if the two lists intersect). From the head of A, it reads as [4,1,8,4,5]. From the head of B, it reads as [5,0,1,8,4,5]. There are 2 nodes before the intersected node in A; There are 3 nodes before the intersected node in B.
Example 2:
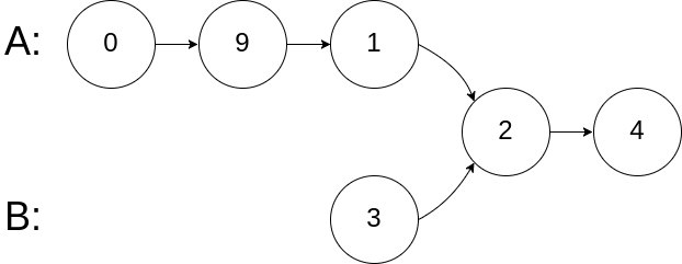
Input: intersectVal = 2, listA = [0,9,1,2,4], listB = [3,2,4], skipA = 3, skipB = 1Output: Reference of the node with value = 2Input Explanation: The intersected node's value is 2 (note that this must not be 0 if the two lists intersect). From the head of A, it reads as [0,9,1,2,4]. From the head of B, it reads as [3,2,4]. There are 3 nodes before the intersected node in A; There are 1 node before the intersected node in B.
Example 3:
Input: intersectVal = 0, listA = [2,6,4], listB = [1,5], skipA = 3, skipB = 2Output: nullInput Explanation: From the head of A, it reads as [2,6,4]. From the head of B, it reads as [1,5]. Since the two lists do not intersect, intersectVal must be 0, while skipA and skipB can be arbitrary values.Explanation: The two lists do not intersect, so return null.
Notes:
- If the two linked lists have no intersection at all, return
null. - The linked lists must retain their original structure after the function returns.
- You may assume there are no cycles anywhere in the entire linked structure.
- Your code should preferably run in O(n) time and use only O(1) memory.
题意
求两个链表的交点。
思路
最简单的方法hash:先遍历一遍A链表,将所有结点存入set,再遍历一遍B链表,判断当前结点是否在set中。
也可以通过计算长度来解题:先遍历得到链表A和B的长度,计算出长度差diff,在较长链表中将指针移至第diff个结点处,然后同时移动两链表的指针,当第一次指向同一个结点时就是所要求的的交点。
官方还提供了Two Pointers方法:指针pA和pB分别指向链表A和B的头结点,同时开始向后移动;如果pA遍历完了当前链表,则将其重新指向另一个链表的头结点,对pB同样如此;任何时候只要pA和pB指向同一个结点,就是所求的交点(因为在相遇时,两指针走过的路程长度是一样的)。
代码实现
Java
hash
public class Solution {public ListNode getIntersectionNode(ListNode headA, ListNode headB) {Set<ListNode> set = new HashSet<>();while (headA != null) {set.add(headA);headA = headA.next;}while (headB != null) {if (set.contains(headB)) {return headB;}headB = headB.next;}return null;}}
计算长度
public class Solution {public ListNode getIntersectionNode(ListNode headA, ListNode headB) {int lenA = 0, lenB = 0;ListNode p = headA, q = headB;while (p != null) {lenA++;p = p.next;}while (q != null) {lenB++;q = q.next;}int diff = Math.abs(lenA - lenB);while (diff > 0) {if (lenA > lenB) {headA = headA.next;} else {headB = headB.next;}diff--;}while (headA != headB) {headA = headA.next;headB = headB.next;}return headA;}}
Two Pointers
public class Solution {public ListNode getIntersectionNode(ListNode headA, ListNode headB) {ListNode pA = headA, pB = headB;while (pA != pB) {pA = pA == null ? headB : pA.next;pB = pB == null ? headA : pB.next;}return pA;}}
JavaScript
/*** @param {ListNode} headA* @param {ListNode} headB* @return {ListNode}*/var getIntersectionNode = function (headA, headB) {const set = new Set()while (headA) {set.add(headA)headA = headA.next}while (headB) {if (set.has(headB)) return headBheadB = headB.next}return null}



