题目
Given the root of a binary tree, find the maximum value V for which there exist different nodes A and B where V = |A.val - B.val| and A is an ancestor of B.
A node A is an ancestor of B if either: any child of A is equal to B, or any child of A is an ancestor of B.
Example 1:

Input: root = [8,3,10,1,6,null,14,null,null,4,7,13]Output: 7Explanation: We have various ancestor-node differences, some of which are given below :|8 - 3| = 5|3 - 7| = 4|8 - 1| = 7|10 - 13| = 3Among all possible differences, the maximum value of 7 is obtained by |8 - 1| = 7.
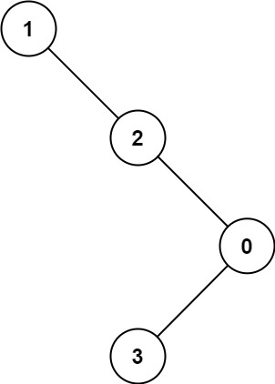
Example 2:

Input: root = [1,null,2,null,0,3]Output: 3
Constraints:
- The number of nodes in the tree is in the range
[2, 5000]. 0 <= Node.val <= 10^5
题意
找到一组结点,其中一个是另一个祖先结点,使得这两个结点的差值最大。
思路
递归处理,两种方法:
- 每次找到左子树和右子树中的最值,以此更新结果。
- 每次递归更新当前路径上的最大值和最小值,到达叶结点时计算差值并返回。
代码实现
Java
递归1
class Solution {private int diff;public int maxAncestorDiff(TreeNode root) {diff = 0;dfs(root);return diff;}private int[] dfs(TreeNode root) {if (root == null) {return null;}int[] l = dfs(root.left), r = dfs(root.right);if (l == null && r == null) {return new int[] { root.val, root.val };}int cMin = 0, cMax = 0;if (l != null && r != null) {cMin = Math.min(l[0], r[0]);cMax = Math.max(l[1], r[1]);} else if (l != null) {cMin = l[0];cMax = l[1];} else {cMin = r[0];cMax = r[1];}diff = Math.max(diff, Math.max(Math.abs(root.val - cMin), Math.abs(root.val - cMax)));return new int[] { Math.min(root.val, cMin), Math.max(root.val, cMax) };}}
递归2
class Solution {public int maxAncestorDiff(TreeNode root) {if (root == null) {return 0;}return dfs(root, root.val, root.val);}private int dfs(TreeNode root, int max, int min) {if (root == null) {return max - min;}max = Math.max(root.val, max);min = Math.min(root.val, min);return Math.max(dfs(root.left, max, min), dfs(root.right, max, min));}}
