题目
Given the root of a binary search tree, rearrange the tree in in-order so that the leftmost node in the tree is now the root of the tree, and every node has no left child and only one right child.
Example 1:

Input: root = [5,3,6,2,4,null,8,1,null,null,null,7,9]Output: [1,null,2,null,3,null,4,null,5,null,6,null,7,null,8,null,9]
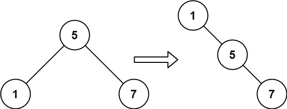
Example 2:

Input: root = [5,1,7]Output: [1,null,5,null,7]
Constraints:
- The number of nodes in the given tree will be in the range
[1, 100]. 0 <= Node.val <= 1000
题意
将一个BST按照顺序变成一直链。
思路
简单的可以用中序遍历实现,或者用类似Morris遍历的方法也可以。
代码实现
Java
中序遍历
class Solution {public TreeNode increasingBST(TreeNode root) {List<TreeNode> list = new ArrayList<>();inorder(root, list);TreeNode dummy = new TreeNode();TreeNode p = dummy;for (TreeNode node : list) {p.right = node;p = node;}return dummy.right;}private void inorder(TreeNode root, List<TreeNode> list) {if (root == null) {return;}inorder(root.left, list);list.add(root);root.left = null;inorder(root.right, list);}}
Morris
class Solution {public TreeNode increasingBST(TreeNode root) {TreeNode newRoot = root;while (newRoot != null && newRoot.left != null) {newRoot = newRoot.left;}while (root != null) {if (root.left != null) {TreeNode rightMost = root.left;while (rightMost.right != null) {rightMost = rightMost.right;}rightMost.right = root;root = root.left;rightMost.right.left = null;} else if (root.right != null && root.right.left != null) {root.right = increasingBST(root.right);root = root.right;} else {root = root.right;}}return newRoot;}}
