Given a binary search tree, return a balanced binary search tree with the same node values.
A binary search tree is balanced if and only if the depth of the two subtrees of every node never differ by more than 1.
If there is more than one answer, return any of them.
Example 1:


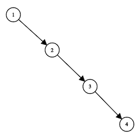
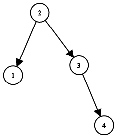
Input: root = [1,null,2,null,3,null,4,null,null]Output: [2,1,3,null,null,null,4]Explanation: This is not the only correct answer, [3,1,4,null,2,null,null] is also correct.
Constraints:
- The number of nodes in the tree is between
1and10^4. - The tree nodes will have distinct values between
1and10^5.
题意
将一个二叉搜索树转化为平衡二叉搜索树。
思路
利用中序遍历取出BST中所有结点,再重新构建AVL:每次以中间结点作为根节点,左右两边剩余结点构成左右子树,递归处理。
代码实现
class Solution {public TreeNode balanceBST(TreeNode root) {List<TreeNode> list = new ArrayList<>();inOrder(root, list);return buildTree(list, 0, list.size() - 1);}private TreeNode buildTree(List<TreeNode> list, int left, int right) {if (left > right) {return null;}int mid = left + (right - left) / 2;TreeNode root = list.get(mid);root.left = buildTree(list, left, mid - 1);root.right = buildTree(list, mid + 1, right);return root;}private void inOrder(TreeNode root, List<TreeNode> list) {if (root == null) {return;}inOrder(root.left, list);list.add(root);inOrder(root.right, list);root.left = null;root.right = null;}}
