题目
Given a linked list, determine if it has a cycle in it.
To represent a cycle in the given linked list, we use an integer pos which represents the position (0-indexed) in the linked list where tail connects to. If pos is -1, then there is no cycle in the linked list.
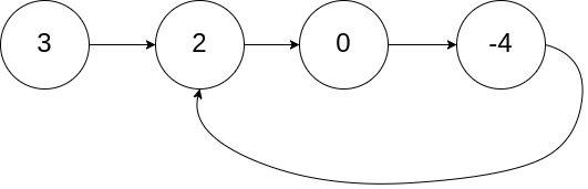
Example 1:
Input: head = [3,2,0,-4], pos = 1Output: trueExplanation: There is a cycle in the linked list, where tail connects to the second node.
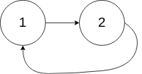
Example 2:
Input: head = [1,2], pos = 0Output: trueExplanation: There is a cycle in the linked list, where tail connects to the first node.
Example 3:
Input: head = [1], pos = -1Output: falseExplanation: There is no cycle in the linked list.
Follow up:
Can you solve it using O(1) (i.e. constant) memory?
题意
判断给定链表中是否存在环。
思路
比较简单的就是将所有遍历到的结点记录下来,如果记录了两次则说明存在环。
#card=math&code=O%281%29)空间的方法是使用快慢指针,慢指针每次走一步,快指针每次走两步,如果快指针追上慢指针则说明存在环。实际上可以看做一个相遇问题,如果快慢指针都在一个环中,且快指针距离慢指针还有n个结点的距离,那么经过n个回合后快指针必定与慢指针重合。
代码实现
Java
Hash
public class Solution {public boolean hasCycle(ListNode head) {if (head == null) {return false;}Set<ListNode> set = new HashSet<>();while (head != null) {if (!set.add(head)) {return true;}head = head.next;}return false;}}
快慢指针
public class Solution {public boolean hasCycle(ListNode head) {if (head == null) {return false;}ListNode slow = head, fast = head;while (fast.next != null && fast.next.next != null) {slow = slow.next;fast = fast.next.next;if (fast == slow) {return true;}}return false;}}
JavaScript
/*** @param {ListNode} head* @return {boolean}*/var hasCycle = function (head) {const nodes = new Set()while (head) {if (nodes.has(head)) {return true}nodes.add(head)head = head.next}return false}
