题目
Given a linked list, return the node where the cycle begins. If there is no cycle, return null.
To represent a cycle in the given linked list, we use an integer pos which represents the position (0-indexed) in the linked list where tail connects to. If pos is -1, then there is no cycle in the linked list.
Note: Do not modify the linked list.
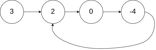
Example 1:
Input: head = [3,2,0,-4], pos = 1Output: tail connects to node index 1Explanation: There is a cycle in the linked list, where tail connects to the second node.

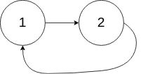
Example 2:
Input: head = [1,2], pos = 0Output: tail connects to node index 0Explanation: There is a cycle in the linked list, where tail connects to the first node.

Example 3:
Input: head = [1], pos = -1Output: no cycleExplanation: There is no cycle in the linked list.

Follow-up:
Can you solve it without using extra space?
题意
判断给定链表中是否存在环,存在则返回环的入口结点。
思路
比较简单的就是将所有遍历到的结点记录下来,如果记录了两次则说明当前结点就是所求的结点。
同样可以使用快慢指针的方法:慢指针每次走一步,快指针每次走两步,如果快指针追上慢指针则说明存在环;当判断出存在环后,将快指针重新指向头结点,步进距离改为一个结点,然后使快指针和慢指针同时继续前进,当两者再次相遇时,所处结点就是所求入口结点。证明如下:
记第一次相遇时慢指针走过的距离为,快指针走过的距离为
,那么可得如下方程组:
化简后可得:
说明当快指针重新从A点走到B点时,慢指针从C点出发已经走过了n圈加上z的距离,即也正好落在B点上,因此上述方法能够正确找到环的入口结点。
代码实现
Java
Hash
public class Solution {public ListNode detectCycle(ListNode head) {if (head == null) {return null;}Set<ListNode> set = new HashSet<>();while (head != null) {if (!set.add(head)) {return head;}head = head.next;}return null;}}
快慢指针
public class Solution {public ListNode detectCycle(ListNode head) {if (head == null) {return null;}ListNode slow = head, fast = head;while (fast.next != null && fast.next.next != null) {slow = slow.next;fast = fast.next.next;if (slow == fast) {fast = head;while (slow != fast) {slow = slow.next;fast = fast.next;}return slow;}}return null;}}
JavaScript
/*** @param {ListNode} head* @return {ListNode}*/var detectCycle = function (head) {let slow = headlet fast = headwhile (fast && fast.next) {slow = slow.nextfast = fast.next.nextif (slow === fast) {slow = headwhile (slow !== fast) {slow = slow.nextfast = fast.next}return slow}}return null}
