题目
Given the root of a binary tree, return the sum of every tree node’s tilt.
The tilt of a tree node is the absolute difference between the sum of all left subtree node values and all right subtree node values. If a node does not have a left child, then the sum of the left subtree node values is treated as 0. The rule is similar if there the node does not have a right child.
Example 1:

Input: root = [1,2,3]Output: 1Explanation:Tilt of node 2 : |0-0| = 0 (no children)Tilt of node 3 : |0-0| = 0 (no children)Tile of node 1 : |2-3| = 1 (left subtree is just left child, so sum is 2; right subtree is just right child, so sum is 3)Sum of every tilt : 0 + 0 + 1 = 1
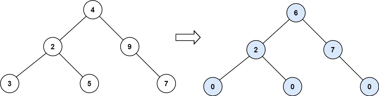
Example 2:

Input: root = [4,2,9,3,5,null,7]Output: 15Explanation:Tilt of node 3 : |0-0| = 0 (no children)Tilt of node 5 : |0-0| = 0 (no children)Tilt of node 7 : |0-0| = 0 (no children)Tilt of node 2 : |3-5| = 2 (left subtree is just left child, so sum is 3; right subtree is just right child, so sum is 5)Tilt of node 9 : |0-7| = 7 (no left child, so sum is 0; right subtree is just right child, so sum is 7)Tilt of node 4 : |(3+5+2)-(9+7)| = |10-16| = 6 (left subtree values are 3, 5, and 2, which sums to 10; right subtree values are 9 and 7, which sums to 16)Sum of every tilt : 0 + 0 + 0 + 2 + 7 + 6 = 15
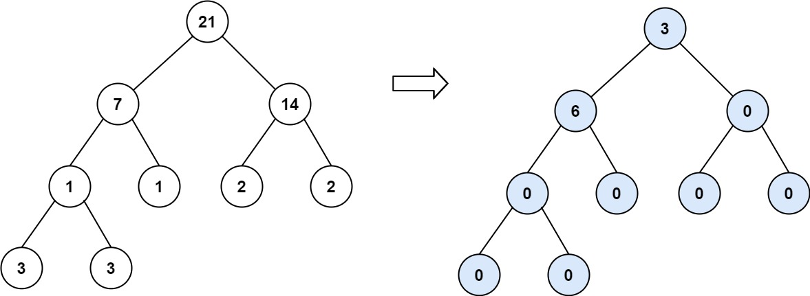
Example 3:

Input: root = [21,7,14,1,1,2,2,3,3]Output: 9
Constraints:
- The number of nodes in the tree is in the range
[0, 10^4]. -1000 <= Node.val <= 1000
题意
统计一个数中所有子树的 |左子树的和-右子树的和| 的和。
思路
直接递归计算每个子树的和再进行统计即可。
代码实现
Java
class Solution {private int sum;public int findTilt(TreeNode root) {sum = 0;findSum(root);return sum;}public int findSum(TreeNode root) {if (root == null) {return 0;}int sumLeft = findSum(root.left);int sumRight = findSum(root.right);sum += Math.abs(sumLeft - sumRight);return sumLeft + sumRight + root.val;}}
