题目
Given the root of a binary search tree and the lowest and highest boundaries as low and high, trim the tree so that all its elements lies in [low, high]. Trimming the tree should not change the relative structure of the elements that will remain in the tree (i.e., any node’s descendant should remain a descendant). It can be proven that there is a unique answer.
Return the root of the trimmed binary search tree. Note that the root may change depending on the given bounds.
Example 1:

Input: root = [1,0,2], low = 1, high = 2Output: [1,null,2]
Example 2:

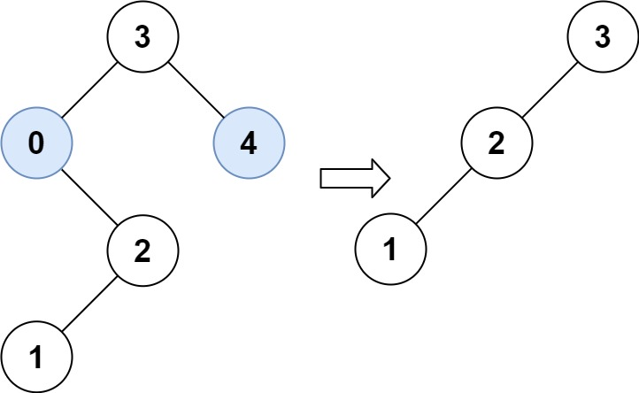
Input: root = [3,0,4,null,2,null,null,1], low = 1, high = 3Output: [3,2,null,1]
Example 3:
Input: root = [1], low = 1, high = 2Output: [1]
Example 4:
Input: root = [1,null,2], low = 1, high = 3Output: [1,null,2]
Example 5:
Input: root = [1,null,2], low = 2, high = 4Output: [2]
Constraints:
- The number of nodes in the tree in the range
[1, 10^4]. 0 <= Node.val <= 10^4- The value of each node in the tree is unique.
rootis guaranteed to be a valid binary search tree.0 <= low <= high <= 10^4
题意
将BST中所有值不在指定范围内的结点删去,同时不改变BST的基本结构。
思路
递归处理:如果当前结点值小于左端点,则删去当前结点和左子树,递归处理右子树;如果当前结点值大于右端点,则删去当前结点和右子树,递归处理左子树;否则保留当前结点,递归处理左右子树。
代码实现
Java
class Solution {public TreeNode trimBST(TreeNode root, int low, int high) {if (root == null) {return null;}if (root.val > high) {return trimBST(root.left, low, high);} else if (root.val < low){return trimBST(root.right, low, high);} else {root.left = trimBST(root.left, low, high);root.right = trimBST((root.right), low, high);return root;}}}
