题目
Serialization is the process of converting a data structure or object into a sequence of bits so that it can be stored in a file or memory buffer, or transmitted across a network connection link to be reconstructed later in the same or another computer environment.
Design an algorithm to serialize and deserialize a binary tree. There is no restriction on how your serialization/deserialization algorithm should work. You just need to ensure that a binary tree can be serialized to a string and this string can be deserialized to the original tree structure.
Clarification: The input/output format is the same as how LeetCode serializes a binary tree. You do not necessarily need to follow this format, so please be creative and come up with different approaches yourself.
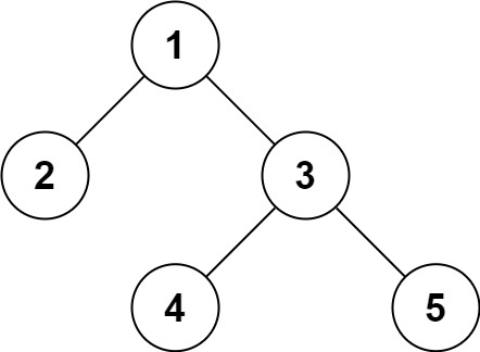
Example 1:

Input: root = [1,2,3,null,null,4,5]Output: [1,2,3,null,null,4,5]
Example 2:
Input: root = []Output: []
Example 3:
Input: root = [1]Output: [1]
Example 4:
Input: root = [1,2]Output: [1,2]
Constraints:
- The number of nodes in the tree is in the range
[0, 104]. -1000 <= Node.val <= 1000
题意
实现二叉树的序列化和反序列化。
思路
按照前序遍历的顺序序列化二叉树,形式为结点的值用分隔符相连。反序列化同样参照前序遍历的顺序,递归处理即可。
代码实现
Java
public class Codec {// Encodes a tree to a single string.public String serialize(TreeNode root) {if (root == null) {return "null";}String s = "" + root.val;s +="," + serialize(root.left);s += "," + serialize(root.right);return s;}// Decodes your encoded data to tree.public TreeNode deserialize(String data) {String[] arr = data.split(",");Queue<TreeNode> q = new LinkedList<>();for (int i = 0; i < arr.length; i++) {q.offer(arr[i].equals("null") ? null : new TreeNode(Integer.parseInt(arr[i])));}return dfs(q);}private TreeNode dfs(Queue<TreeNode> q) {if (q.isEmpty()) {return null;}TreeNode cur = q.poll();if (cur == null) return null;cur.left = dfs(q);cur.right = dfs(q);return cur;}}
